近日,徐震宇副教授与Dr. Luis Pedro García-Pintos (UMass)、Dr. Aurelia Chenu (LANL)、Prof. Adolfo del Campo (IKERBASQUE & UMass)合作,提出了极端退相干理论。相关研究成果发表在《物理评论快报》(Phys. Rev. Lett. 122, 014103 (2019))上。
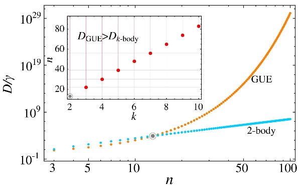
退相干是解释量子-经典过渡的重要途经之一。通常而言,对于k-体相互作用的物理系统,其退相干率随粒子数呈多项式增长。该研究工作发现,量子涨落混沌系统将展现出极端的退相干性质,其退相干率将随粒子数呈指数方式增长。研究结果还表明,虽然反德西特黑洞被认为是最大混沌系统,但只在特定条件下才具有极端退相干性质。
该理论工作有助于理解波函数客观坍缩(objective collapse theory)机制;也将推动与AdS/CFT相关的反德西特黑洞混沌性质的研究。

图1:极端退相干

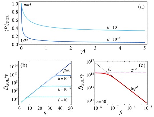
图2:Thermofield double state退相干率
此项研究工作部分得到了国家自然科学基金面上项目(No. 11674238)的资助。
论文链接: //journals.aps.org/prl/abstract/10.1103/PhysRevLett.122.014103
