近日,黄色影片 冯岩教授团队通过对二维尘埃等离子体液体动力学行为的研究,发现了系统遵循多个普适的标度律,并基于此给出了液体黏度这一流体参量在单颗粒动理学层面的解析表达式,彻底揭示了液体黏度微观机制。该项研究结果为深入理解二维液体输运微观机制提供了全新的思路,相关成果以“Origin of viscosity at individual particle level in Yukawa liquids”为题发表在《Physical Review Research》上。
黏度是流体对流动阻碍的量度。气体的黏度来源早有定论,当运动速度较慢的分子与运动速度较快的分子发生碰撞时,较慢的分子被加速,而较快的分子被减速,从而表现出黏滞阻力,即气体黏度的由来。然而,由于液体中分子排布结构和其群体性动力学行为远比气体复杂,直到目前为止,液体黏度起源的微观物理机制尚未被完全理解。尘埃等离子体,也称复杂等离子体,指由自由电子、离子、中性气体原子和带电尘埃颗粒组成的复杂系统。地面实验条件下,大量尘埃颗粒可自组织形成二维晶体或液体,且其运动具有绝佳的时空尺度,可通过顶视高速相机精确记录每个尘埃颗粒详尽的运动轨迹,由此实现单颗粒动理学层面的测量。因此,可将尘埃等离子体作为实验模型体系,在单颗粒动理学层面对固体和液体中众多动力学行为进行深入研究。

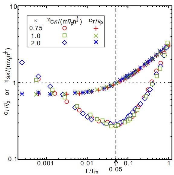
图1,无量纲黏度,瞬时横波声速和颗粒平均速率的比值,随均归一化耦合参数的变化规律所满足的普适标度律。
该研究主要利用分子动力学方法模拟大量不同实验参数下二维尘埃等离子体中大量尘埃颗粒详尽的运动,由此计算系统瞬时横波声速,颗粒平均速率,以及系统剪切黏度等一系列物理量随温度变化的规律。研究结果显示,按照该论文提出的约化方法,在不同实验参数下,二维尘埃等离子体液体的无量纲黏度随均归一化耦合参数的变化规律满足普适的标度律,颗粒系统的瞬时横波声速和颗粒平均速率的比值也满足普适的标度律,如图1所示。更有意义的是,当系统瞬时横波声速等于颗粒平均速率时,此时系统的黏度正好处于最小值。这一结果揭示了黏度随耦合参数的变化的转变机制来自于系统的动力学机制转变。当系统瞬时横波声速小于颗粒平均速率时,此时系统的动力学机制由单颗粒动力学行为主导,系统的动量输运主要来源于颗粒碰撞过程,因此随着温度升高而黏度增加,类似于气体行为。然而,当瞬时横波声速大于颗粒平均速率时,即由颗粒间合作动力学行为主导时,随着温度降低,颗粒间相互作用增强,所以黏度增加,是典型的液体行为。

图2,颗粒间合作动力学行为主导时, τ_LC和麦克斯韦弛豫时间与瞬时横波声速和颗粒平均速率两个比值的标度律一致,由此获得系统黏度原子层面解析表达式 。
该研究进一步引入了描述系统中尘埃颗粒平均失去或者得到一个“最近邻”颗粒的平均时间τ_LC这一概念,如图2所示。研究给出了,颗粒间合作动力学行为主导时,系统黏度这一流体输运系数在原子层面的解析表达式,即系统黏度可通过其质量密度、颗粒平均速率的平方、以及颗粒交换“最近邻”的平均时间,这三者乘积解析表达,即 。这一解析式揭示了液体黏度起源于单个颗粒失去或得到“最近邻”颗粒的微观动力学过程。文章还指出,对于其他相互作用势主导的简单液体,这种黏度的微观物理机制是否依然有效,则有待进一步的深入研究。
黄色影片 博士生黄栋是该论文的第一作者,冯岩教授是该论文的通讯作者,美国密歇根州立大学Murillo教授也参与了该工作。该研究获得国家自然科学基金委的资助,同时得到黄色影片 的支持。
论文链接:
URL: //link.aps.org/doi/10.1103/PhysRevResearch.4.033064
DOI: 10.1103/PhysRevResearch.4.033064
